Texas Instruments OPAx172/OPAx172-Q1 Rail-to-Rail Op Amps
Texas Instruments OPAx172/OPAx172-Q1 Rail-to-Rail Operational Amplifiers are 36V, single-supply, low-noise operational amplifiers. Each is capable of operating on supplies ranging from +4.5V (±2.25V) to +36V (±18V). These high-voltage CMOS operational amplifiers provide bandwidth, noise, and power options to meet the needs of a wide variety of applications. The OPAx172/OPAx172-Q1 are available in micro packages and offer low offset, drift, and quiescent current. These devices also offer wide bandwidth, fast slew rate, and high output current drive capability. The single (OPA172), dual (OPA2172), and quad (OPA4172) versions all have identical specifications for maximum design flexibility. Texas Instruments OPAx172-Q1 devices are AEC-Q100 qualified for automotive applications.Features
- +4.5V to +36V, ±2.25V to ±18V supply range
- ±0.2mV low offset voltage
- ±0.3µV/°C low offset drift
- 10MHz gain bandwidth
- ±8pA low input bias current
- 1.6mA per amplifier low quiescent current
- 7nV/√Hz low noise
- EMI and RFI filtered inputs
- Input range includes the negative supply
- Input range operates to positive supply
- Rail-to-rail output
- 120dB high common-mode rejection
- Industry-Standard Packages
- SOIC-8, VSSOP-8, SOIC-14, TSSOP-14
- microPackages
- Single in SC70, SOT-23
Applications
- Tracking amplifier in power modules
- Merchant power supplies
- Transducer amplifiers
- Bridge amplifiers
- Temperature measurements
- Strain gauge amplifiers
- Precision integrators
- Test equipment
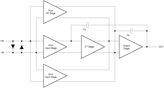
Functional Block Diagram
TI Reference Design Library
Published: 2015-04-22
| Updated: 2022-03-11
